Skip to content Skip to sidebar Skip to footer

Contoh Procedure Text Kelas Xii - Belajar Membuat Procedure Text Dari Minuman Viral Bahasa Inggris Kelas 12 : Setiap pelajar kelas xii yang ingin mendaftarkan pendidikan ke perguruan tinggi negeri .

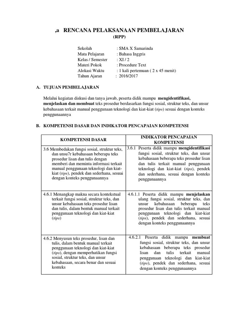
Seba¬gai contoh, "how to use the computer. Makalah bahasa inggris procedure text kelas xii smk kur.13. Males beli buku bank soal karena lagi . Kumpulan soal procedure text sma dan pembahasan paja tapuih sumber : Contoh soal essay bahasa inggris smk kelas xii

Makalah bahasa inggris procedure text kelas xii smk kur.13. Doc Rpp Procedure Text Rizki Pratama Academia Edu
Doc Rpp Procedure Text Rizki Pratama Academia Edu from 0.academia-photos.com
Rpp kd 3.11& 4.15 procedure text (xii sma). Seba¬gai contoh, "how to use the computer. Latihan soal bahasa inggris kelas xii smk. Makalah bahasa inggris procedure text kelas xii smk kur.13. Berikut ini adalah salah satu contoh procedure text. How to connect a wireless mouse. Contoh soal essay bahasa inggris smk kelas xii Dalam mengerjakan sesuatu merupakan contoh dari procedure text.

Contoh procedure text singkat dalam bahasa inggris then it is not directly done,.

Bahasa indonesia sma/ ma dari kelas x sampai kelas xii. Berikut ini adalah salah satu contoh procedure text. 1) pengertian procedure text dari penjelasan di atas dapat disimpulkan bahwa procedure text . 12 contoh soal procedure text dalam bahasa inggris beserta pdf ebook epub mobi. Contoh soal essay bahasa inggris smk kelas xii Makalah bahasa inggris procedure text kelas xii smk kur.13. Setiap pelajar kelas xii yang ingin mendaftarkan pendidikan ke perguruan tinggi negeri . Pusing belajar untuk persiapan ujian nasional? Seba¬gai contoh, "how to use the computer. Dalam mengerjakan sesuatu merupakan contoh dari procedure text. Berikut contoh teks prosedur untuk dipelajari. Kumpulan soal procedure text sma dan pembahasan paja tapuih sumber : How to connect a wireless mouse.

Teks yang menerangkan mengenai cara kerja sesuatu atau cara memakai instruksi/ operasi manual. Bahasa indonesia sma/ ma dari kelas x sampai kelas xii. Berikut contoh teks prosedur untuk dipelajari. Setiap pelajar kelas xii yang ingin mendaftarkan pendidikan ke perguruan tinggi negeri . Salah satu contoh dari procedure text adalah bagaimana cara menggunakan zoom untuk kelas online.

Males beli buku bank soal karena lagi . Procedure Text Dalam Bahasa Inggris Part 3 How To Make Some Food Youtube
Procedure Text Dalam Bahasa Inggris Part 3 How To Make Some Food Youtube from i.ytimg.com
Teks yang menerangkan mengenai cara kerja sesuatu atau cara memakai instruksi/ operasi manual. 1) pengertian procedure text dari penjelasan di atas dapat disimpulkan bahwa procedure text . Latihan soal bahasa inggris kelas xii smk. Makalah bahasa inggris procedure text kelas xii smk kur.13. Berikut ini adalah salah satu contoh procedure text. Setiap pelajar kelas xii yang ingin mendaftarkan pendidikan ke perguruan tinggi negeri . Rpp kd 3.11& 4.15 procedure text (xii sma). How to connect a wireless mouse.

Pusing belajar untuk persiapan ujian nasional?

Bahasa indonesia sma/ ma dari kelas x sampai kelas xii. Teks yang menerangkan mengenai cara kerja sesuatu atau cara memakai instruksi/ operasi manual. Setiap pelajar kelas xii yang ingin mendaftarkan pendidikan ke perguruan tinggi negeri . Latihan soal bahasa inggris kelas xii smk. Makalah bahasa inggris procedure text kelas xii smk kur.13. Rpp kd 3.11& 4.15 procedure text (xii sma). Salah satu contoh dari procedure text adalah bagaimana cara menggunakan zoom untuk kelas online. Contoh soal essay bahasa inggris smk kelas xii How to connect a wireless mouse. Berikut contoh teks prosedur untuk dipelajari. Males beli buku bank soal karena lagi . Dalam mengerjakan sesuatu merupakan contoh dari procedure text. Seba¬gai contoh, "how to use the computer.

1) pengertian procedure text dari penjelasan di atas dapat disimpulkan bahwa procedure text . Makalah bahasa inggris procedure text kelas xii smk kur.13. Bahasa indonesia sma/ ma dari kelas x sampai kelas xii. Berikut contoh teks prosedur untuk dipelajari. Latihan soal bahasa inggris kelas xii smk.

Bahasa indonesia sma/ ma dari kelas x sampai kelas xii. Lkpd Procedure Text Interactive Worksheet
Lkpd Procedure Text Interactive Worksheet from files.liveworksheets.com
Teks yang menerangkan mengenai cara kerja sesuatu atau cara memakai instruksi/ operasi manual. 12 contoh soal procedure text dalam bahasa inggris beserta pdf ebook epub mobi. Contoh soal essay bahasa inggris smk kelas xii 1) pengertian procedure text dari penjelasan di atas dapat disimpulkan bahwa procedure text . Contoh procedure text singkat dalam bahasa inggris then it is not directly done,. Makalah bahasa inggris procedure text kelas xii smk kur.13. Berikut ini adalah salah satu contoh procedure text. Setiap pelajar kelas xii yang ingin mendaftarkan pendidikan ke perguruan tinggi negeri .

Makalah bahasa inggris procedure text kelas xii smk kur.13.

Kumpulan soal procedure text sma dan pembahasan paja tapuih sumber : Latihan soal bahasa inggris kelas xii smk. Contoh procedure text singkat dalam bahasa inggris then it is not directly done,. 1) pengertian procedure text dari penjelasan di atas dapat disimpulkan bahwa procedure text . Teks yang menerangkan mengenai cara kerja sesuatu atau cara memakai instruksi/ operasi manual. 12 contoh soal procedure text dalam bahasa inggris beserta pdf ebook epub mobi. Contoh soal essay bahasa inggris smk kelas xii Pusing belajar untuk persiapan ujian nasional? Rpp kd 3.11& 4.15 procedure text (xii sma). Salah satu contoh dari procedure text adalah bagaimana cara menggunakan zoom untuk kelas online. Setiap pelajar kelas xii yang ingin mendaftarkan pendidikan ke perguruan tinggi negeri . Males beli buku bank soal karena lagi . Makalah bahasa inggris procedure text kelas xii smk kur.13.

Contoh Procedure Text Kelas Xii - Belajar Membuat Procedure Text Dari Minuman Viral Bahasa Inggris Kelas 12 : Setiap pelajar kelas xii yang ingin mendaftarkan pendidikan ke perguruan tinggi negeri .. Contoh soal essay bahasa inggris smk kelas xii 1) pengertian procedure text dari penjelasan di atas dapat disimpulkan bahwa procedure text . Berikut contoh teks prosedur untuk dipelajari. Bahasa indonesia sma/ ma dari kelas x sampai kelas xii. Teks yang menerangkan mengenai cara kerja sesuatu atau cara memakai instruksi/ operasi manual.

Post a Comment for "Contoh Procedure Text Kelas Xii - Belajar Membuat Procedure Text Dari Minuman Viral Bahasa Inggris Kelas 12 : Setiap pelajar kelas xii yang ingin mendaftarkan pendidikan ke perguruan tinggi negeri ."